News and Articles

Jun 18, 2007

Article

NDT Systems and Services AG

Combined in-line inspection of pipelines for metal loss and cracks

As pipelines grow in age it is of ever growing importance to provide operators with precise and reliable inspection data in order to perform advanced integrity assessment calculation and optimize maintenance processes. Until recently the inspection of a pipeline regarding metal loss and cracks not only constituted the need for two separate inspection runs but also the use of two separate tools. This paper will introduce a range of advanced in-line inspection tools that incorporate the ability to be used for quantitative metal loss and wall thickness as well as crack inspections. These tools, utilizing ultrasound technology, make use of a new generation of electronics and an entirely new design of sensor carrier to enable metal loss and crack inspection surveys to be performed with a single tool in a single run. The paper will explain the physical principle used, introduce the tool technology, introduce a case study and present the operational advantages to the operator.
more

Jun 14, 2007

News

Ditch Witch

Short in stature - new JT922 long on everything else

The Ditch Witch organization has introduced a powerful new horizontal directional drill that is more maneuverable, easier to operate, and easier to maintain than any other machine in its class.
more

Jun 12, 2007

News

Water Environment Federation (WEF)

Online site registration opens for World Water Monitoring Day 2007

Online site registration is now open for World Water Monitoring Day™ (WWMD) 2007. Held annually from September 18 through October 18, WWMD is an international outreach program that builds public awareness and involvement in protecting water resources around the world by engaging communities in performing monitoring tests on local rivers, streams, estuaries and other water bodies.
more

Jun 08, 2007

Article

Robert Petrie (Baroid IDP)

Dealing with lost circulation in HDD applications

Lost circulation can result in costly and unnecessary delays for HDD projects, the selection of proper drilling fluid, additives, reamers, and the application of good drilling practices can help the operator achieve success and profitability.
more

Jun 06, 2007

News

Lovat, Inc.

Supply of TBM for Oztas Co. - Gûrpinar & Firuzkoy Tunnels, Istanbul

Turkish contractors Oztas Co. have signed a contract for the supply of a refurbished LOVAT RME136SE Series 19500 Earth Pressure Balance Tunnel Boring Machine [TBM]. The TBM will be utilized in the construction of the Gûrpinar & Firuzkoy Tunnels located in Istanbul, Turkey. The TBM will undergo a complete refurbishment at LOVAT’s facilities in Toronto, Canada, including conformity to European “CE” standards.
more

Jun 05, 2007

News

Thames Water

Public to have new opportunity for consultation on proposed reservoir - Extended consultation period made possible by amended legislation

Changes to legislation will result in a further period of consultation for people interested in commenting on Thames Water’s proposed reservoir near Abingdon, Oxfordshire.
more

Jun 05, 2007

News

Insituform Technologies, Inc

Insituform BlueTM to rehabilitate 1200 meters of Calgary water main with PolyFlexTM: trenchless method will save valued spruce trees

Insituform Blue, a division of Insituform Technologies, Inc., will renew 1200 meters of a 12-inch water distribution main in Calgary, Canada. The City of Calgary chose Insituform Blue’s trenchless pipe renewal process in an effort to avoid the removal and replacement of a number of spruce trees along a 1200-meter water main. The trenchless project will make it possible to save 149 spruce trees that the city values at $717,000. Traditional “dig and replace” methods would have required cutting down the trees, which are valued not only for their price, but also their environmental significance.
more

Jun 04, 2007

Article

Dipl.-Ing. Gunter Kaltenhäuser (IKT – Institute for Underground Infrastructure)

Lateral liner wanted: fitted, no crease and tight

Fitting accuracy, flat surface and leaktightness: the latest IKT-Product-Test "Liners for Laterals" shows which liners fulfil the requirements of the network operators. The marks range from "VERY GOOD" to "POOR". Even the best liner, however, is not always free of malfunction.
more

May 30, 2007

News

Trenchless Australasia

Trenchless Australasia 2008 - Call for Papers - abstract deadline extended

The Call for Papers for Trenchless Australasia 2008 is now open and interested parties are invited to submit an abstract online. All abstracts are due by August 31, so mark this in your diary and start thinking now!
more

May 29, 2007

News

River City Motorway

Four of seven roadheaders now working on north-south bypass tunnel

Tunnelling on Brisbane’s North-South Bypass Tunnel continues to gather pace with four of seven roadheaders now working on the project.
more

May 24, 2007

News

PlasticsEurope

Industry focus at World Water Week

The plastic pipe industry will be looking closely at this year's World Water Week in Stockholm. A highly appropriate theme for the industry has been chosen namely, Progress and Prospects on Water: Striving for Sustainability in a Changing World.
more

May 23, 2007

Article

Trenchless Australasia

Pipeline inspection techniques

Thorough surveys are essential for all pipeline infrastructure to avoid unforeseen problems, and there is a considerable range of techniques and methods for inspection and condition reporting that assist in catching major surprises before they happen.
more

May 22, 2007

News

Herrenknecht AG

Deep drilling rig #4: Contract "signed and sealed"

HERRENKNECHT VERTICAL GmbH sold its fourth deep drilling rig: Future owner is STREIF Baulogistik, a company of the HOCHTIEF Group. With the rig, STREIF Baulogistik will complete its range of specialized equipment with another highlight. Lessee of the deep drilling rig is Hochtief Construction: The rig Terra Invader 350 is scheduled to start tackling its mission, the later development of geothermal energy in greater Munich, at the beginning of 2008.
more

May 21, 2007

News

Messe München GmbH

bauma FORUM 2007 for the mining industry

bauma 2007 was the most successful bauma ever and exceeded all expectations not only regarding the number of exhibitors but also concerning the number of visitors. In addition to all records and the great feedback, bauma 2007 celebrated a fantastic première: For the first time, bauma featured the so called bauma FORUM which provided exhibitors and visitors with all newsworthy information on the market for mining machinery, tunnel construction and processing technology as well as on new product developments.
more

May 18, 2007

Article

Erez Allouche (Trenchless Technology Center)

Pipeline scanning: Novel technology for detection of voids and internal defects in non-conductive buried pipes

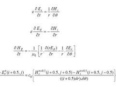
Non-conductive buried pipe systems deteriorate over time under the action of various applied and environmental loads, chemical and microbiological induced corrosions, and differential settlements. A key for effective infrastructure management practices is the availability of reliable and timely inspection data that serve as the basis for the selection of proper rehabilitation/replacement methods. CCTV inspection is limited to detection of visible defects on the inner wall of the pipe. Defects hidden beneath encrustation, cement mortar lining or a thermoplastic liner, as well as voids immediately outside of the pipe, are currently difficult if not impossible to detect. It is proposed to develop a novel inspection technology, employing ultra-wideband (UWB) pulsed radar system, for detecting “below surface” defects, corrosion, and out-of-pipe voids in non-metallic buried pipes. This paper presents the theoretical foundation for the proposed method, followed by the results of a detailed numerical simulation. The numerical simulation employed custom-developed finite difference time domain (FDTD) code using a cylindrical coordinate system. Results from simulating the scanning of selected soil-pipe interface scenarios are presented. Experimental validation efforts of the proposed pipe scanning approach are also described.
more

May 16, 2007

News

The Renewable Energy Centre

The Renewable Energy Centre discusses the future of water recycling

With ever increasing temperatures, less rainfall and a summer hosepipe ban a likely possibility this year, The Renewable Energy Centre discusses water recycling and how useful it will be to us in the future?
more

May 14, 2007

News

Robbins

Robbins receives prestigious award for AMR Project in India

On April 12, 2007, Robbins was named Small Business Environmental Project Exporter of the Year by the Export-Import Bank of the United States. The recent accolade is in reference to the AMR Project in Andhra Pradesh, India. The contract is for the largest single TBM order in history, which includes two Robbins 10 m (32.8 ft) diameter Double Shield machines, back-up systems, conveyors, cutters, other associated equipment, and personnel. Ex-Im Bank is involved in the project through backing the contract with a Working Capital Guarantee (WCG).
more

May 11, 2007

Article

Dipl.-Ing. (FH) Hans-Joachim de la Camp

Testing and optimisation using stress tests

The TÜV SÜD stress test constitutes of integral strength testing to eliminate critical defects. This method optimises pipeline operation, extends the service life and enhances the safety and cost-effectiveness of pipelines.
more

May 08, 2007

Article

IKT - Institut für Unterirdische Infrastruktur gemeinnützige GmbH

Large profiled plastic pipes: practical experience and test concepts

Besides the so-called classic materials concrete, reinforced concrete, vitrified clay and cast iron, plastic products are increasingly used for the construction, renewal and renovation of drains and sewers. Numerous surveys, research projects and product tests by the IKT - Institute for Underground Infrastructure (Gelsenkirchen, Germany) have dealt with the behaviour of single products under practical and laboratory conditions (cf. [1], [2], [3], [4]). Special emphasis was put on the rehabilitation of sewers, the investigation of special applications, the influence of quality as well as the determination of demands on the dimensioning and testing of pipes and construction methods.
more

May 08, 2007

News

Water UK

Water UK appoints accreditation body for in situ lining of water mains

Water UK has appointed the United Kingdom Accreditation Service (UKAS) to accredit companies wishing to be nominated certifying bodies for contractors carrying out in situ lining of water mains.
more

May 07, 2007

News

North American Society for Trenchless Technology (NASTT)

NASTT is now accepting abstracts for the 2008 No-Dig Conference in Dallas

Deadline for Submissions: June 15, 2007
more

May 07, 2007

Article

Nordic Water Products AB

Environmental treatment for aircraft wash-water

Washing and maintaining aircraft can produce a lot of environmental contamination, especially in the form of heavy metals. Stockholm’s Arlanda airport has, for several years, been operating a purpose-designed, wash-water treatment plant to take care of this problem.
more

May 04, 2007

News

Ofwat

Water industry fares well in international line-up - says Ofwat report

The water industry in England and Wales compares well against a wide range of countries in Europe, North America and Australia, says a new report published by Ofwat in April.
more

May 02, 2007

News

North American Society for Trenchless Technology [NASTT]

Northwest Chapter to Host Horizontal Directional Drilling (HDD) Good Practices Guidelines Training

The Northwest Chapter of the North American Society for Trenchless Technology is pleased to offer a two-day Horizontal Directional Drilling (HDD) Good Practices Guidelines Course, May 15-16 at the Swedish Cultural Center in Seattle.
more

May 01, 2007

News

Pipelife International GmbH

Pipelife acquires Quality Plastics in Ireland

Pipelife, one of the world leaders in Plastic Pipes and Fittings, acquires Quality Plastics in Ireland.
more
one moment please ...
one moment please ...